來源:天氏庫力 發布日期
2024-09-06 瀏覽:金屬薄板在汽車制造等領域扮演著至關重要的角色,而其深沖性能的評估對于確保產品質量和性能至關重要。塑性應變比(r值)作為一種常見的力學指標,用于評價薄板材料的拉伸塑性和變形抗力。

金屬薄板示意圖
r值反映了金屬薄板在受到拉力或壓力時抵抗變薄或變厚的能力。在汽車整車領域,r值特別被廣泛應用于評估薄板的深沖性能,其值越高,表明薄板在厚度方向上具有更強的變形抗力。通過分析金屬薄板在傳力區和變形區的強度和變形抗力,r值不僅可以評估材料的抗拉強度,還能判斷其在拉延成形過程中的性能。
本文小編將介紹使用萬能試驗機進行r值試驗的方法,以鋁合金板材為例。詳細說明試驗的步驟和操作要點。通過該試驗,我們可以得到鋁合金板材在特定加載條件下的r值,從而評估其拉伸塑性和深沖性能,為相關領域的工程師和研究人員提供重要的參考數據。
一、測試標準
參考標準《GB T 5027-2016金屬材料薄板和薄帶塑性應變比(r值)的測定》
二、測試儀器
1、萬能試驗機

雙柱拉力機示意圖
2、視頻引伸計
3、楔形夾具

楔形夾具示意圖
4、試驗條件
樣品名稱:鋁合金薄板材
試驗類型:金屬拉伸試驗
樣品數量: 1組
試驗速度: 5 mm/min
試驗溫度:室溫
傳感器容量: 10 kN .
三、測試流程
1、操作步驟
準備樣品:獲取所需的鋁合金薄板材樣品,并確保其符合試驗要求。

安裝樣品:將樣品放置在萬能試驗機的夾具上,并使用10 kN手動楔形夾具進行夾持,確保樣品牢固固定。

設置試驗條件:設置試驗速度為5 mm/min,并將試驗溫度設定為室溫。
連接傳感器:將10 kN的傳感器連接到試驗機上,以準確測量加載過程中的力值。
連接視頻引伸計:將視頻引伸計連接到試驗機上,并確保其正確校準和校驗。
調零和初始位置:進行零位調整和初始位置設置,以確保測量的準確性。
開始測試:啟動萬能試驗機,使其以設定的速度開始進行拉伸試驗。試驗過程中,視頻引伸計會記錄并測量樣品的長度變化。
記錄數據:在試驗過程中,及時記錄關鍵數據,包括加載過程中的力值和樣品的長度變化。
完成測試:一旦達到設定的終止條件(例如,樣品斷裂或達到所需的拉伸程度),停止試驗機的運行。
數據處理:使用記錄的數據計算樣品在不同加載條件下的厚度變化。根據計算公式,計算得出r值。
結果分析:分析得到的r值,并結合其他試驗結果和要求,評估樣品的拉伸塑性和深沖性能。
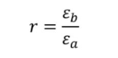
2、r值的計算方式:

由于長度和寬度的變形量比厚度的變形量更容易且更準確地測量,因此在塑性變形量不超過最大力對應的塑性伸長量范圍內,可以使用體積不變原理來計算塑性應變比R值。 R值用于衡量材料在塑性變形過程中的各向異性程度。

【本文標簽】:拉力,試驗機,如何,測試,金屬,薄板,的,拉伸,塑性,應變,
【責任編輯】:天氏庫力 版權所有:http://www.xindahg.cn/轉載請注明出處