來源:天氏庫力 發布日期
2023-01-29 瀏覽:
彎曲強度和模量介紹:
塑封料的機械性能包括彈性模量(E)、伸長率(%)、彎曲強度(s)、彎曲模量(EB)、剪切模量(G)和開裂勢能。封裝應力中機械性能有著重要作用。降低應力因子,如彈性模量、應變、CTE,可以減少應力,提高可靠性。例如,根據Young方程,塑封體中的拉伸應力取決于彈性模量和拉伸應變。
σ=Ee



測試標準:
彎曲強度和彎曲模量按標準ASTM D-790-71和ASTM D-732-85來測定,并由供應商提供,ASTM D-790建議使用兩個試驗程序來確定彎曲強度和彎曲模量。
測試方法:
建議的第一種方法是三點載荷系統(圖一),即在一個簡單的被支撐試樣的中間加載應力作用,此方法主要適用于那些在相對較小彎曲形變下就發生斷裂的材料。被測試樣放置在兩個支撐點上,并在兩個支撐點的中間施加負荷。
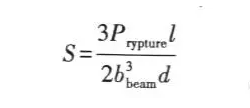
第二種方法是四點加載系統,所使用的兩個加載點離它們相鄰的支撐點距離是支撐跨距的1/3或1/2。此方法主要設計用于在試驗過程中形變較大的材料。上述任意一種方法,樣品被彎曲形變直到外層纖維發生斷裂,彎曲強度等于外層纖維破裂時的最大應力,計算公式如下:

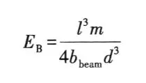
式中,S為彎曲強度;Prypture為斷裂時的負載:L為支撐跨度;beam是樣品的寬度;d為樣品彎曲深度。彎曲模量通過在加荷變形曲線的初始直線部分作正切計算求得,計算公式如下:

式中,m為加載變形曲線上初始直線部分切線的斜率,EB為彎曲模量
以上就是小編給大家介紹的半導體集成電路彎曲強度、彎曲模量的試驗方法以及計算方式了,希望對大家能有所幫助。還有其他相關問題需要了解的話,歡迎隨時聯系我們。
【本文標簽】:半導體,集成電路,彎曲,強度,、,模量,試驗,以及
【責任編輯】:天氏庫力 版權所有:http://www.xindahg.cn/轉載請注明出處